行业关注 - 谷胱甘肽可提高茄属茄品种低温胁迫的耐受性

不同的气候条件导致植物更容易受到阻碍其生存、发育和总产量的不同环境压力的影响。包括低温 (LT) 在内的严重温度波动是对植物具有极大有害影响的这些胁迫之一。低温改变植物生理,导致膜损伤、脂质成分变化、萎黄和不同的酶活性导致植物坏死甚至死亡。
此外,如果温度下降到 0 °C 以下,则会在细胞间隙形成细胞外冰晶, 植物在冷胁迫下不能发芽或有差异地生长。LT 会影响处于所有发育阶段的植物,从而导致作物产量下降,因为植物要么限制其生长,要么完全停止生长。低温胁迫改变植物的基本生理、解剖和形态特征。光抑制导致植物在 LT 胁迫下的光合活性下调。
近日,外国研究团队研究了谷胱甘肽 (GSH) 在减轻低温压力方面的影响。通过评估不同的生理反应,对番茄进行低温耐受性研究。评估的具体目标是选择外源应用中对在 LT 下具有抗氧化潜力的GSH最佳浓度。

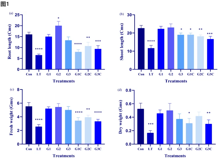
与对照和处理过的植物相比,LT 植物几乎所有的生长生物标志物都显示出显着下降,包括根和枝条长度、植物的整体新鲜和干燥质量(图 1 )。与对照相比,LT 植物的根长减少了 2.4 倍,而 G1 和 G3 的根长分别减少了 1.06 倍和 1.21 倍。相反,与对照植物相比,G2 植物显着增加了 0.9 倍。与对照植物相比,G1C、G2C 和 G3C 植物分别降低了 1.7 倍、1.5 倍和 2 倍。在枝条长度的情况下,LT 和 G3 植物与对照植物相比分别减少了 1.94 倍和 1.18 倍。然而,与对照植物相比,G1 和 G2 植物分别显示了 0.97 倍和 0.98 倍的增长。与对照植物相比,G1C、G2C 和 G3C 植物的枝条长度分别下降了 1.18 倍、2 倍和 1.3 倍。

LT 胁迫和不同 GSH 浓度对生长特性的影响:播种后 40 天幼苗用于 LT 胁迫和外源 GSH 的试验。3 天后恢复测定 ( a ) 根长 ( b ) 芽长 ( c ) 鲜重和 ( d ) 干重。数据描述了三个重复的平均值和标准偏差。后跟 (*) 的数据确定显着性水平 ( p < 0.05) 正如 Dunnet 的多重比较检验所预测的那样。对照 (Con):25/18 °C + 0 mM GSH,低温应力 (LT):10/3 °C + 0 mM GSH,G1:25/18 °C + 0.5 mM GSH,G2:25/18 ° C + 1 mM GSH,G3:25/18 °C + 2 mM GSH,G1C:10/3 °C + 0.5 mM GSH,G2C:10/3 °C + 1 mM GSH,G3C:10/3 °C + 2 mM GSH。
可以看出植物的鲜重受到 LT 的影响。据报道,与对照植物相比,LT 植物的鲜重最大下降了 2.1 倍。与对照相比,G2 植物的鲜重增加了 0.98 倍。与对照植物相比,其余的 G1、G3、G1C、G2C 和 G3C 植物显示出 1.01 倍、1.06 倍、1.55 倍、1.35 倍和 1.59 倍的边际下降。
与对照植物相比,植物的干重降低。与对照植物相比,LT、G1、G2、G3、G1C、G2C 和 G3C 植物的干重分别降低了 3.25 倍、1.15 倍、1.04 倍、1.4 倍、1.67 倍、1.26 倍和 1.7 倍。在存在和不存在 LT 的情况下,G2 浓度明显降低了干重(图 2)。

冷胁迫和不同GSH浓度对芽形态的影响。对照(Con):25/18 °C + 0 mM GSH,G1:25/18 °C + 0.5 mM GSH,G2:25/18 °C + 1 mM GSH,G3:25/18 °C + 2 mM GSH , 低温应力 (LT/C): 10/3 °C + 0 mM GSH, G1C: 10/3 °C + 0.5 mM GSH, G2C: 10/3 °C + 1 mM GSH, G3C: 10/3 ° C + 2 mM GSH。

在非生物条件下,GSH 负责控制植物的多种生理反应,在此次研究中,发现 GSH 通过增强抗氧化机制、生化特性、光合参数和生长特性来对抗冷应激。LT 胁迫对植物生长和发育过程有显着影响。植物的生长受 LT 的影响。它引发了一系列限制植物生产力的生理、生化和形态变化。在此次研究中,LT 导致幼苗生长减少并伴有明显的冷害,LT 胁迫下植物生长迟缓的原因可能有很多,例如 ROS 产生、养分吸收不当和渗透失衡。然而,GSH 处理的 LT (GSH + LT) 胁迫幼苗能够以更好的 对抗 LT 的不利影响。

低温胁迫和不同GSH浓度对根系形态的变化。对照 (Con):25/18 °C + 0 mM GSH,低温应力 (LT):10/3 °C + 0 mM GSH,G1:25/18 °C + 0.5 mM GSH,G2:25/18 ° C + 1 mM GSH,G3:25/18 °C + 2 mM GSH,G1C:10/3 °C + 0.5 mM GSH,G2C:10/3 °C + 1 mM GSH,G3C:10/3 °C + 2 mM GSH。
外源 GSH 在控制非生物胁迫下的生长、发育和产量方面的渐进作用已在拟南芥绿豆和大豆中报道。该研究还表明,GSH 处理在减轻 LT 对番茄生长发育的毒性作用方面具有保护作用。据报道,渗透压调节剂和抗氧化剂在赋予非生物胁迫耐受性(如盐胁迫)方面具有明确的作用。此外,根的吸收表面积在提供 GSH 的植物中显着高于对照和 LT 植物。
外源性补充 GSH 减轻了 LT 压力。G2 浓度具有对抗 LT 压力的巨大潜力。GSH 遇到 LT 应力的几种方式可以总结为以下几点。
GSH 应对 LT 的几种方式
1.维持渗透平衡和膜完整性。
2.CAT、GR、APX、SOD等抗氧化酶活性增强。
3.通过调节根长耐受指数、芽长耐受指数、植物的鲜重 和干重促进生长和发育。
4.GSH 有助于提高光合作用的速率。
5.提高气孔导度、蒸腾水平和水分利用效率等气体交换参数的功效。
6.与 LT 胁迫植物相比,胁迫耐受指数的进展。
7.如在 G2C 处理下所见,LT 应力承受趋势取决于气孔导度、光合速率和蒸腾速率之间的一种有利的相互作用。
8.在 LT 胁迫情况下,外源性 GSH 最显着的 G2C 浓度可能在增加 GSH 氧化还原和抑制茄属茄品种中ABA介导的信号传导中具有潜在作用。
*特别说明 - 本文仅作资讯科普用途,不能代替医生的治疗诊断和建议,不应被视为对所涉医疗产品的推荐或功效证明。涉及疾病诊断、治疗、康复相关的,请务必前往专业医疗机构就诊,寻求专业意见。